Myocardial motion in acute ischemia: revealing invisible deformation by echocardiography

Journal of Echocardiography Volume 22 Page 71-78 published_at 2024-04-13
アクセス数 : 60
ダウンロード数 : 63

今月のアクセス数 : 20
今月のダウンロード数 : 16
File
File
Fig.1 336 KB 種類 : other
File
Fig.2 306 KB 種類 : other
File
Fig.3 640 KB 種類 : other
File
Fig.3_cont 516 KB 種類 : other
File
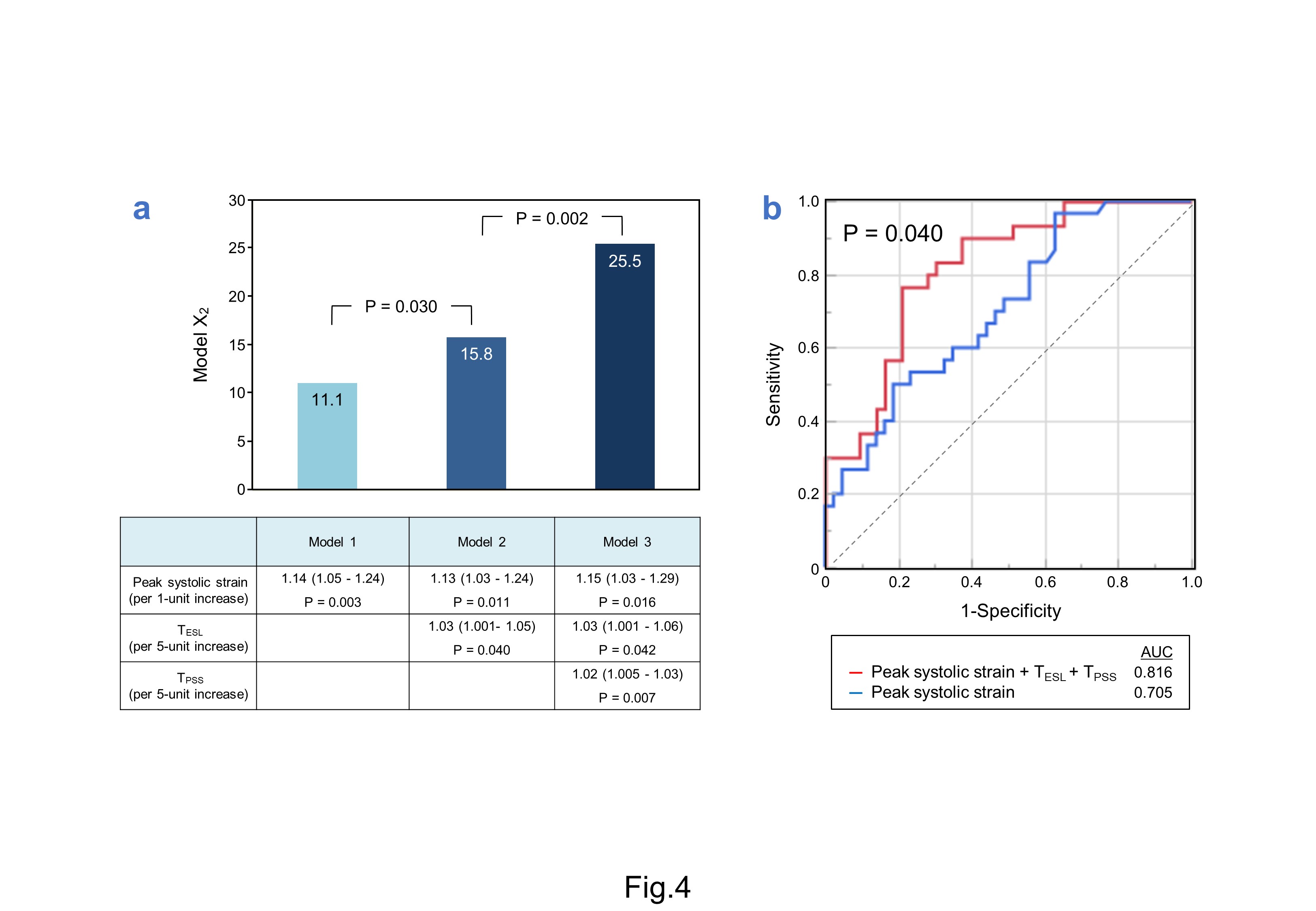
Fig.4 352 KB 種類 : other
File
Fig.5 408 KB 種類 : other
Title ( eng )
Myocardial motion in acute ischemia: revealing invisible deformation by echocardiography
Creator
Asanuma Toshihiko
Source Title
Journal of Echocardiography
Volume 22
Start Page 71
End Page 78
Journal Identifire
EISSN 1880-344X
PISSN 1349-0222
Language
eng
Resource Type journal article
Date of Issued 2024-04-13
Publish Type Accepted Manuscript
Access Rights open access
Relation